L^(-1) {(s+3)/(s^2+6s+13)^2 } Get link Facebook X Pinterest Email Other Apps - June 10, 2021 Read more
L^(-1) {log((s^2+9)/(s^2+1)) } Get link Facebook X Pinterest Email Other Apps - June 10, 2021 Read more
L^(-1) [(7s^2+23s+30)/(s-2)(s^2+2s+5) ] Get link Facebook X Pinterest Email Other Apps - June 10, 2021 Read more
Find L^(-1) [f ̅(s)] if s^2 f ̅(s)+sf ̅(s)-6f ̅(s)=(s^2+4)/(s^2+s) Get link Facebook X Pinterest Email Other Apps - June 07, 2021 Read more
L^(-1) {(7s^3-2s^2-3s+6)/(s^3 (s-2) )} Get link Facebook X Pinterest Email Other Apps - June 05, 2021 Read more
L^(-1) {2(s+1)/(s^2+2s+2)^2 } Get link Facebook X Pinterest Email Other Apps - June 03, 2021 Read more
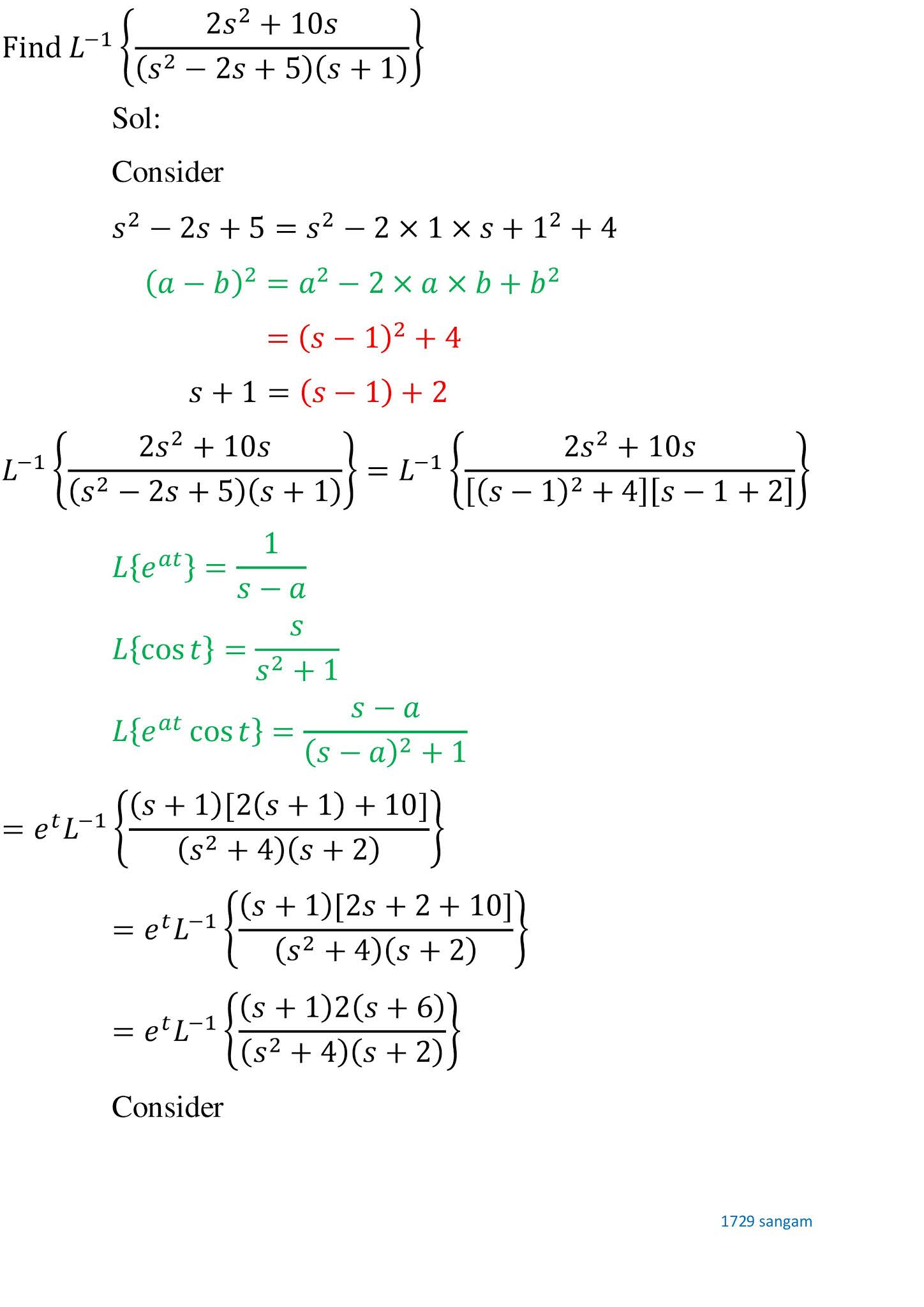
L^(-1) {(2s^2+10s)/(s^2-2s+5)(s+1) } Get link Facebook X Pinterest Email Other Apps - June 03, 2021 Read more