Posts

Showing posts from May, 2021

f(t)=sin t piecewise continuity

Image
 

f(t)=e^2t piecewise continuity

Image
 

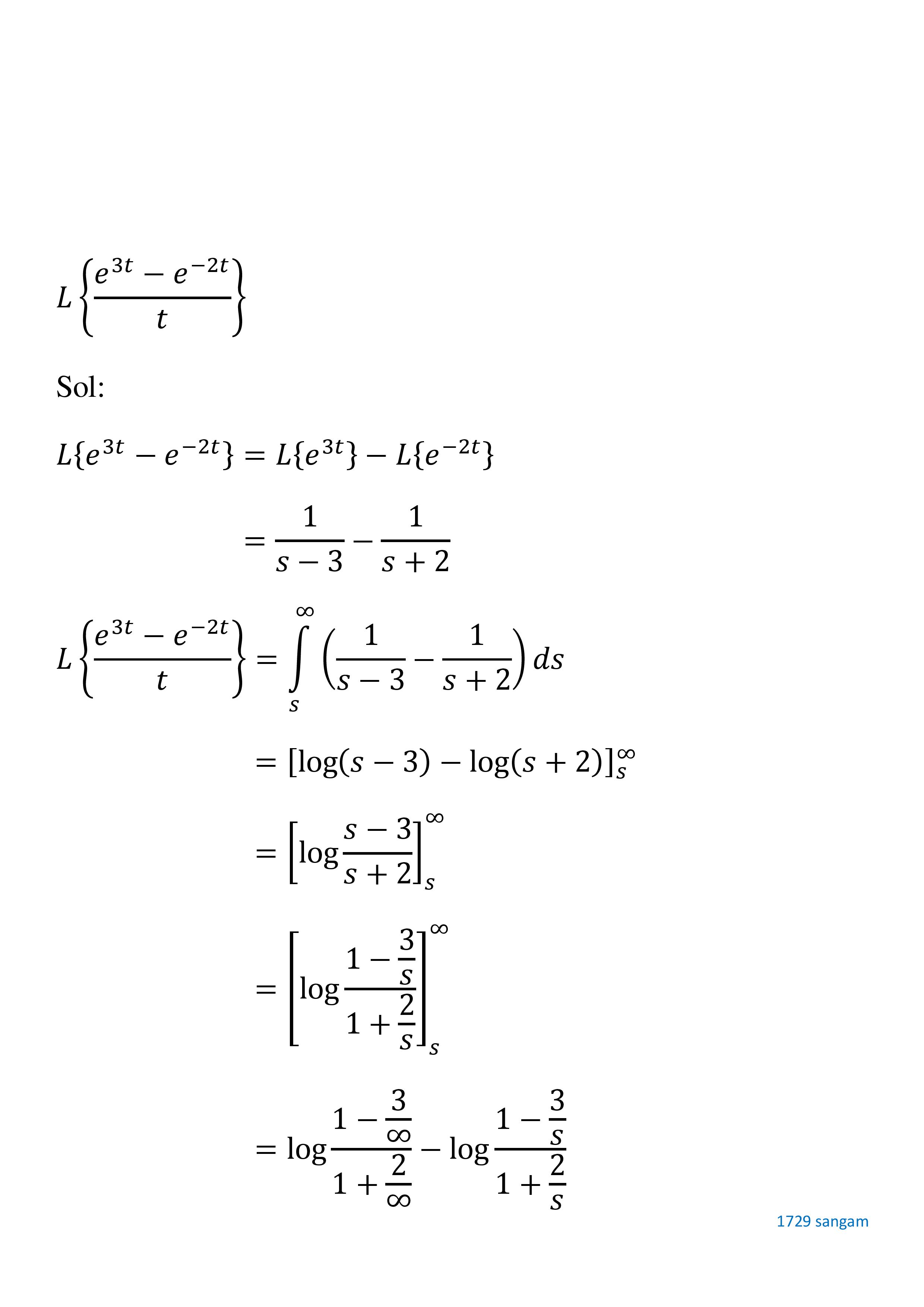
L{(e^3t-e^(-2t))/t}

Image

L{(cos⁡3t-cos⁡2t)/t}

Image

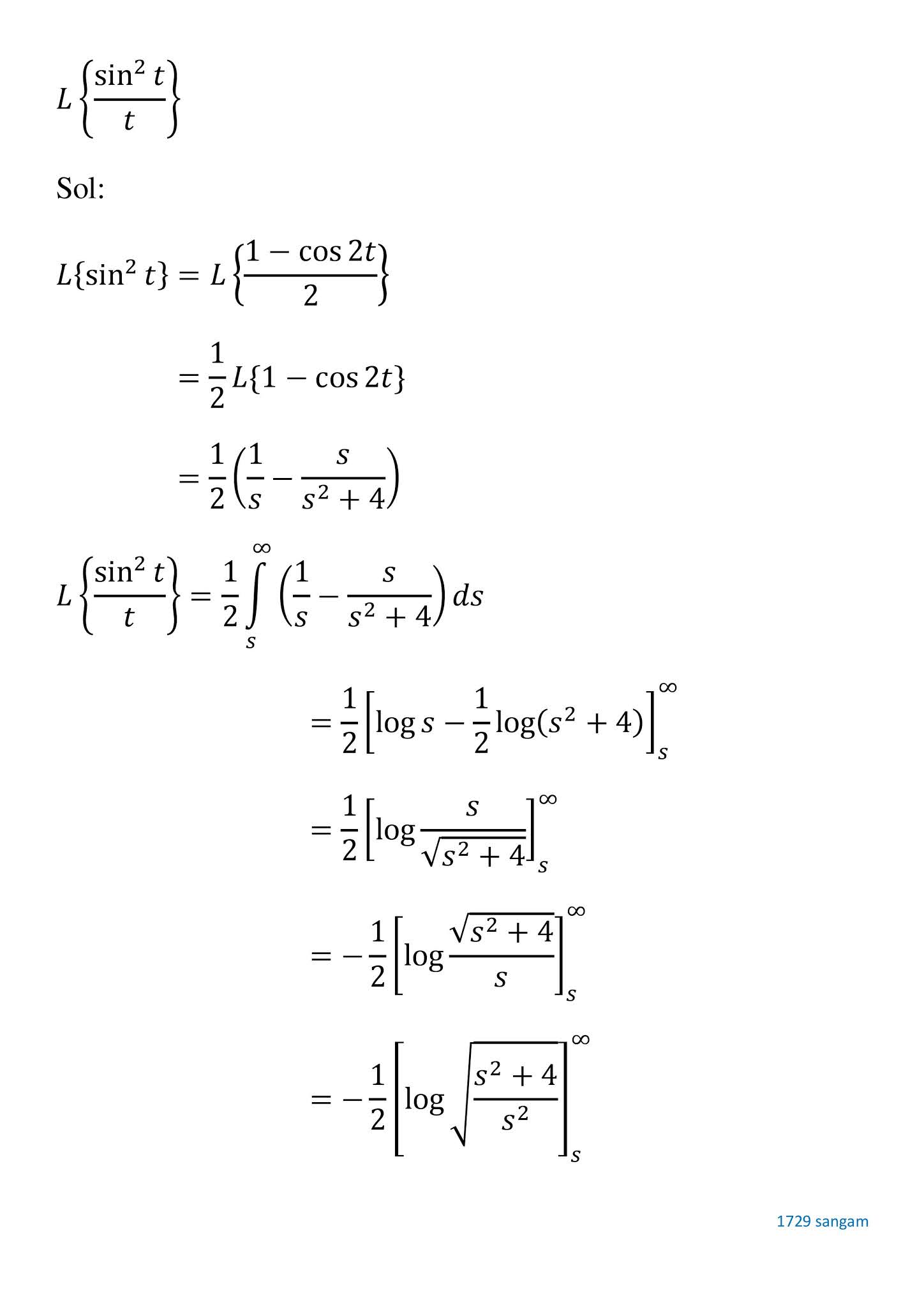
L{sin^2⁡t/t}

Image

L{t^2 cosh⁡at }

Image
 

L{t^2 cos⁡4t }

Image
 

L{t sin^2⁡t }

Image
 

L{(1+e^(-2t) )^2 }

Image
 

L{te^2t cos 5t}

Image
 

L{e^-2t sin 2t +e^3t }

Image
 

L{2t^2 e^-t -t+cos 4t}

Image
 

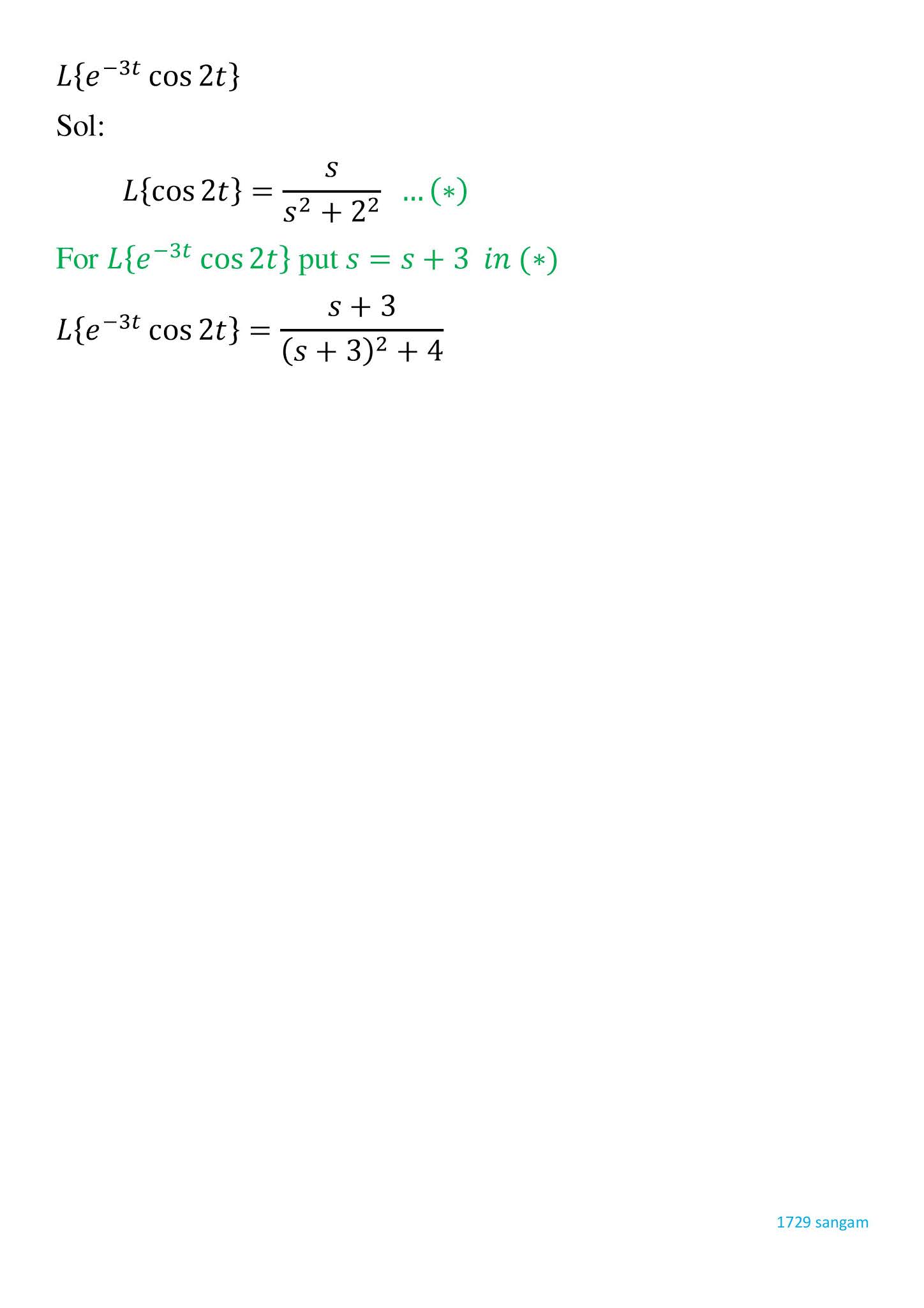
L{e^-3t cos 2t }

Image
 

L{e^7t sin^2 t }

Image
 

L^-1 {1/s(s^2 + a^2 )}

Image

L^-1 {(s+2)/(s-4)(s^2 + 1)}

Image
 

L^-1 {s^2 /(s^2 + 4)(s^2 + 9)}

Image
 

L^-1 {(s^2 +9s+2) / (s-1)^2 (s+2) }

Image

L^-1 {(7s-1)/(s+1)(s+2)(s+3)}

Image

L{t^4 -t^2 -t + sin⁡√2 𝑡 }

Image
 

L{1}

Image
  VIDEO EXPLANATION IN ENGLISH

L{sinh at }

Image
 

L{cos at }

Image
 

L{sin^2 t . cos^3 t }

Image

L{cos 4t . sin 3t }

Image
 

L{cos^4 t}

Image
 

L{sin^3 2t}

Image
 

L{cos^3 t}

Image
 

L{sin^2 3t}

Image
 

CHANGE OF SCALE PROPERTY

Image
 

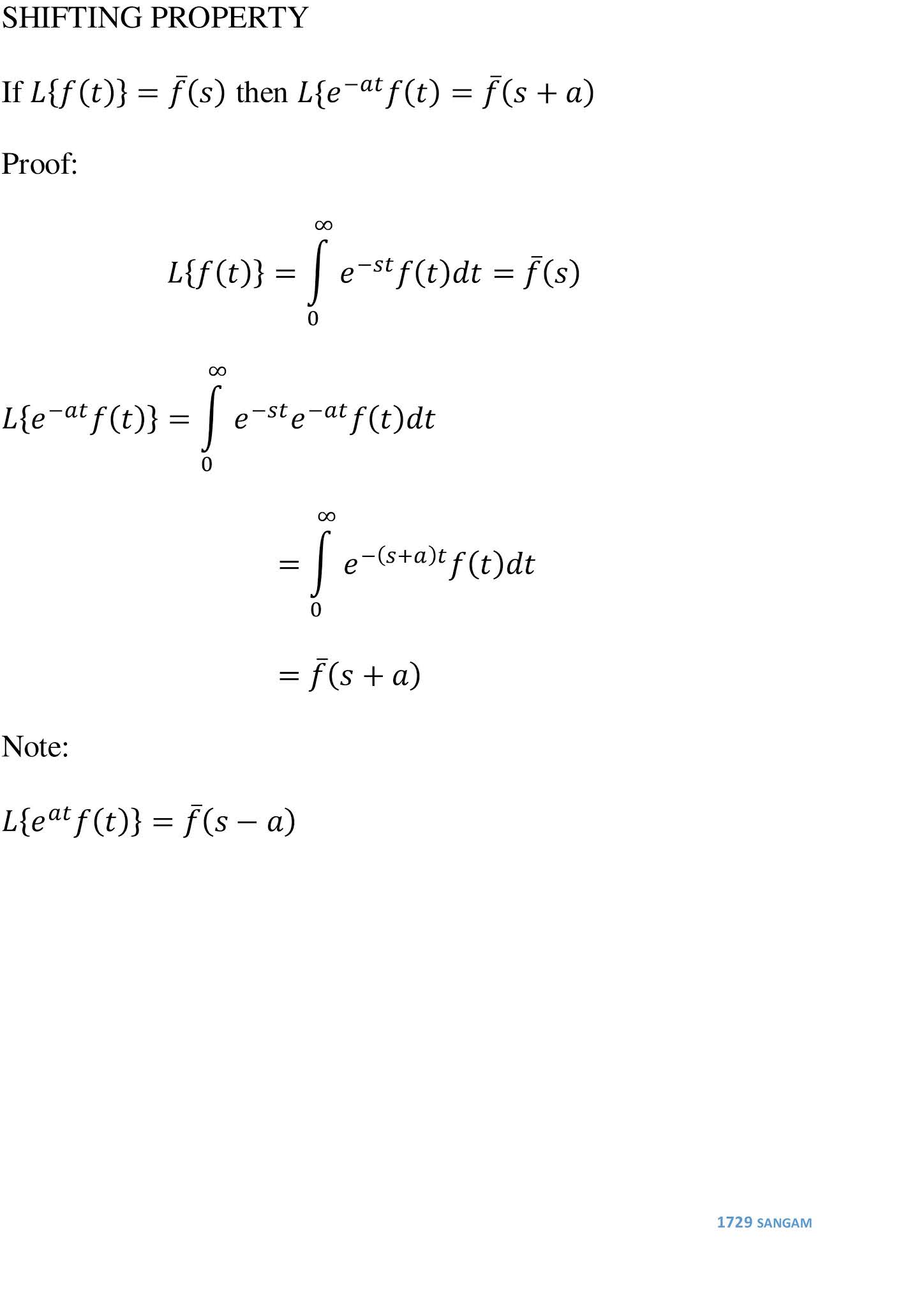
SHIFTING PROPERTY

Image
 

LAPLACE . Linearity property

Image
 

L{cosh at}

Image
 

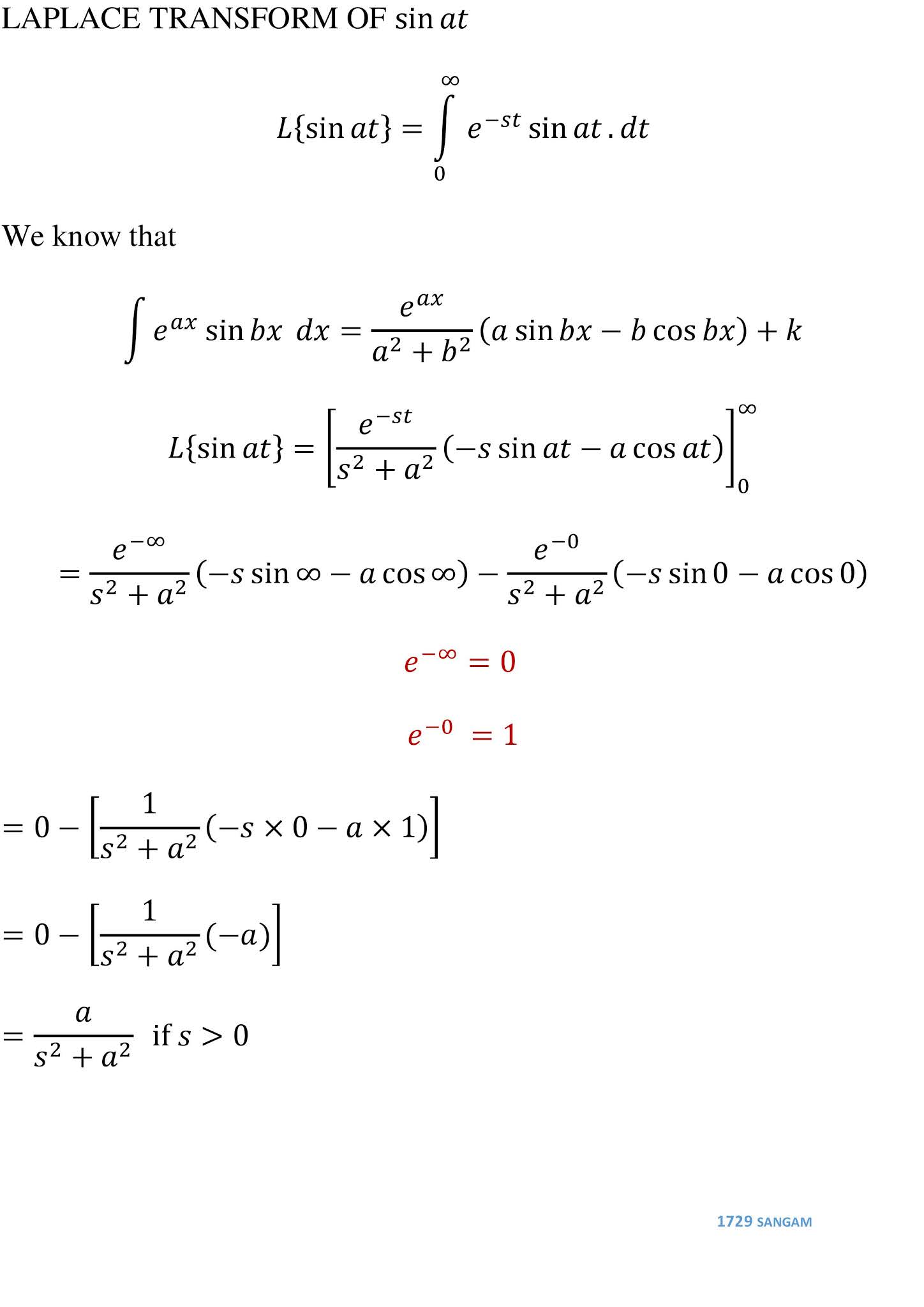
L{sin at }

Image
 

L{ e^-at} and L{ e^at }

Image
 

L{ t^n }

Image

Reduction formula sin^n x

Image